1 引言
噪聲系數是微波產品研制和生產過程中的一項主要測量參數,是表征接收機及其組成部件在有熱噪聲存在的情況下處理微弱信號能力的關鍵參數之一,噪聲系數的計量測試更是
噪聲計量測試的重要內容。
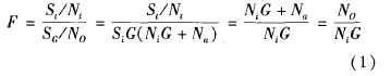
在工程上定義噪聲因子(F)為若線性兩端口網絡具有確定的輸入端和輸出端,且輸入端源阻抗處于290。K(室溫)時,網絡輸入端信號噪聲功率比與網絡輸出端信號噪聲功率比的比值。
其中, Si為輸入信號功率,Ni為輸入噪聲功率,So 為輸出信號功率,No為輸出噪聲功率,G為兩端口網絡增益,Na為兩端口網絡本身的噪聲功率。
它明確地表明了由于網絡產生噪聲,使網絡輸入端信噪比經過該網絡傳輸后信噪比惡化的倍數,也就是傳輸網絡對其輸出端總噪聲功率貢獻的大小。噪聲系數(NF)為噪聲因子的對數表達形式,定義如下:
可重復的、高精度的噪聲系數測量方法是非常重要的,本文討論其中三種典型方法:噪聲測試儀法、增益法和Y系數法,并通過實驗驗證Y系數法的準確度。
2 噪聲測試儀法
使用噪聲測試儀是測量噪聲系數最直接方法,在大多數情況下也是最準確的。工程師可在特定的頻率范圍內測量噪聲系數。噪聲測試儀能夠同時顯示增益和噪聲系數來幫助測量。噪聲測試儀的測試原理圖如圖1所示。

圖1 噪聲測試儀法原理圖
噪聲測試儀測 試噪聲系數的核心是Y系數法。首先,噪聲測試儀本身是一臺接收機,可以用來測試輸人的噪聲功率;其次噪聲測試儀需要控制一個噪聲源的加電和不加電狀態,對被測件(DUT)進行測試。
噪聲系數測試儀,如AV3984噪聲系數分析儀,產生28VDC脈沖信號驅動噪聲源(AV16604),該噪聲源產生噪聲驅動DUT.由于分析儀已知噪聲源的輸入噪聲和信噪比,DUT的噪聲系數可以在內部計算和在屏幕上顯示。
使用噪聲系數測試儀是測量噪聲系數的最直接方法。測量人員可在特定的頻率范圍內測量噪聲系數,通常噪聲分析儀在超低的噪聲測量中準確度更高一些,當測量很高的噪聲系數時,測量結果會不準確。
3 增益法
目前噪聲系數的測量主要使用專用的噪聲系數測試儀,但當不具備這種專用設備或者所要求測試頻率范圍不在其范圍時,可以采用
頻譜分析儀測量噪聲系數,即增益法,該方法對于頻率在所用頻譜儀頻率范圍內的被測件都能進行測量。
基于噪聲系數的定義可以得到一個測量公式 :
式(3)中,Pout是已測的噪聲功率譜密度,-174 dBm/Hz是290°K(室溫)時環境噪聲的功率譜密度,BW是感興趣的頻率帶寬,Gain是系統的增益。式(3)中每個變量均為對數,為簡化公式,我們可以直接測量輸出噪聲功率譜密度(dBm/Hz),這時式(3)變為:
以接收機為例,測試原理如圖2所示。

圖2 增益法測試框圖
用信號源和頻譜儀測量出接收機的增益(在接收機能夠接收的電平范圍都可以,如 果感興趣的是接近接收機小信號時的噪聲系數,可以選擇接近靈敏度電平,比如小于- 100 dBm的信號強度);為獲得穩定和準確的噪聲密度讀數,選擇最優的分辨帶寬(RBW)與視頻帶寬(VBW),使頻譜儀上的基底噪聲看起來比較干凈。視頻帶寬越小,頻譜儀上顯示的基底噪聲越小,Pout讀數越準確。
只要頻譜分析儀允許,這種方法可以適用于任何頻率范圍。通常噪聲分析儀在超低的噪聲測量中準確度更高一些。對于系統增益非常高、噪聲系數非常高的場合,這種方法也很準確。最大的限制來自于頻譜儀的噪聲基底。
4 Y系數法
Y系數法是測量噪聲系數的一種典型方法。Y系數是指當被測件(DUT)的輸入端處于2個不同的資用噪聲功率時,在DUT的輸出端得到的2個相應的資用噪聲功率之比。噪聲源是Y系數法測量必不可少的設備,噪聲源是能產生2種不同噪聲功率的噪聲發生器,一般需要用DC脈沖電源驅動電壓,當DC驅動電壓供電時相當于噪聲源開,稱為熱態,此時輸出大的噪聲功率;DC驅動電源關閉時相當于噪聲源關斷,稱為冷態,此時輸出常溫下的噪聲功率。噪聲源的熱溫與冷溫的差值稱為噪聲源的超噪比(ENR)。
測試原理如圖1所示,為了進一步說明其工作原理,下面導出它的工作方程。
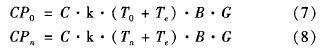
當噪聲源轉移到噪聲溫度T0時,DUT的輸出功率Pn為:
式(5)中,k為波爾茲曼常數,1.38*10- 23J/K,B為帶寬(Hz),G為增益,Te為被測網絡等效輸入噪聲溫度(K)。同理,當噪聲源轉移到噪聲溫度Tn時,DUT的輸出噪聲功率Pn為:
設噪聲系數測試儀的增 益為C,則在上述兩種情況下,噪聲系數測試儀所檢測到的功率分別為CP0和CPn即:
對式(3)和式(4)聯立求解 Te并表示為F,即可得到:
式中,ENR是噪聲源的超噪比(dB), Y=CPn/CP0,功率比值,通常稱為Y系數,F是噪聲系數(dB)。
圖3所示為Y系數量值發生器的組成原理圖。

圖3 Y系數發生器原理圖
首先使噪聲源工作在噪聲溫度T0(冷態),射頻衰減器置于0(dB),標準衰減器置于A0(dB),并使指示器指示在某一位置;然后,噪聲源工作在噪聲溫度Tn(熱態),調整標準衰減器使指示器的指示回到原來位置。設此時的衰減讀數為An,那么A = An - A0(dB),可以得到Y系數的表達式為:
Y系數法適用于大范圍噪聲系數的測量,簡單易行并且準確度高,只需要知道噪聲源的ENR,并測量出噪聲源冷、熱2個狀態下的輸出噪聲功率,不用測量DUT的增益,因此在對噪聲系數準確度做檢定時采用此方法。
噪音測試儀產品鏈接:
http://m.hawkerboy.com.cn/product/Noise-Tester/